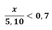
SE12850 - (Escrevente Técnico do Judiciário - TJ/SP. 2023. Vunesp) Uma fórmula muito usada por motoristas de aplicativos, para saber se vale mais a pena abastecer o carro de motor flex com gasolina ou álcool (etanol), é dividir o preço do litro de etanol pelo da gasolina. Se o resultado for maior do que 0,7, é mais vantajoso abastecer o carro com gasolina, se for menor do que 0,7 é mais vantajoso abastecer o carro com etanol e, se for igual a 0,7, é indiferente abastecer o carro com gasolina ou etanol. Renan, que é motorista de aplicativo, fez as contas por essa fórmula e verificou que seria mais vantajoso abastecer seu carro com etanol, já que o preço do litro de gasolina estava R$ 5,10. O preço do litro de etanol usado nos cálculos de Renan, necessariamente,
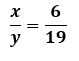
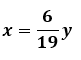
SE12849 - (Escrevente Técnico do Judiciário - TJ/SP. 2023. Vunesp) Em uma pesquisa realizada em 2019, com 200 pessoas, identificou-se que a razão entre o número de pessoas que não tinham filho ou filha e o número de pessoas que tinham filho(s) ou filha(s) era 6/19. No ano passado, as mesmas pessoas participaram de outra pesquisa, ocasião em que foi identificado que o número de pessoas que não tinham filho ou filha havia diminuído em 12 unidades. Na pesquisa realizada no passado, a razão entre os números das pessoas que não tinham filho ou filha e das pessoas que tinham filho(s) ou filha(s) foi:
SE12848 - (Escrevente Técnico do Judiciário - TJ/SP - Reaplicação. 2024. Vunesp) Uma sala possui uma lâmpada que, após ser ligada, alterna entre as cores azul, amarela e vermelha, emitindo ininterruptamente uma mesma cor até que mude para outra. Quando a lâmpada é ligada, a luz emitida é a azul e, a partir desse momento, a cor emitida muda desde o seu acionamento, em minutos, de acordo com o tempo decorrido desde o seu acionamento, respeitando os seguintes critérios:
• caso o tempo decorrido seja múltiplo de 3 e de 4, a cor emitida é a azul;
• caso o tempo decorrido seja múltiplo de 3, mas não de 4, a cor emitida é a amarela;
• caso o tempo decorrido seja múltiplo de 4, mas não de 3, a cor emitida é a vermelha.
A partir do momento em que a lâmpada é ligada até se completarem 2 horas e 43 minutos, o número de minutos a mais que a lâmpada emitiu a cor amarela em relação ao tempo em que emitiu a cor vermelha é:
SE12847 - (Escrevente Técnico do Judiciário - TJ/SP. 2023. Vunesp) Três conjuntos: I, II e III formam um diagrama lógico com a seguinte disposição: As regiões A, D e E são regiões do conjunto I.

As regiões B, E e F são regiões do conjunto II. As regiões C, D e F são regiões do conjunto III. As letras representam o número de elementos da região na qual a letra está inserida. A intersecção simultânea dos três conjuntos não possui elementos. A união dos três conjuntos possui 55 elementos, e sabe-se que:
A + B = 23
A + C = 26
B + C = 25
A região D tem um elemento a mais que a região E, que, por sua vez, tem um elemento a mais que a região F. Sendo assim, é correto afirmar que o conjunto que tem mais elementos supera o conjunto com o menor número de elementos em
SE12846 - (Escrevente Técnico do Judiciário - TJ/SP. 2023. Vunesp) A figura a seguir representa um diagrama lógico composto por 4 conjuntos. Nesse diagrama, há regiões de intersecção de 3 e apenas 3 conjuntos, regiões de intersecção de 2 e apenas 2 conjuntos e regiões que são de apenas 1 conjunto.

Nesse diagrama lógico, cada região que possui elementos de apenas 1 conjunto possui 24 elementos, e em cada região que se caracteriza por ser intersecção de 3 e apenas 3 conjuntos possui 40 elementos. Sabe-se que, no total, são 416 elementos que fazem parte desse diagrama e que o número de elementos que pertencem a cada região, que se caracteriza por ser intersecção de 2 e apenas 2 conjuntos, é igual entre si. E esse número é
SE12845 - (Escrevente Técnico do Judiciário. 2024. Vunesp) O sistema operacional Windows 11, em sua configuração padrão, permite diversas ações em uma pasta selecionada, entre elas:
SE12844 - (Escrevente Técnico do Judiciário. 2024. Vunesp) Assinale a alternativa correta em relação à Área de Transferência do sistema operacional Windows 11.
SE12843 - (Auditor Fiscal Tributário. 2023. FGV) Em relação ao crime denominado “Fraudes em certames de interesse público”, previsto no artigo 311- A do Código Penal, é correto afirmar que
SE12842 - (Oficial de Promotoria. MPE/SP. 2023. FGV) Luísa, servidora pública, com intuito de comprometer a credibilidade de concurso público, permitiu que terceiros não autorizados tivessem acesso a seu conteúdo sigiloso.
Nesse caso, Luísa deve responder por delito de
SE12841 - (Escrevente Técnico do Judiciário. 2023. Vunesp) Com relação ao artigo 308 do CP, desde que o fato não constitua elemento de crime mais grave, é correto afirmar:
Esqueceu a sua senha? Não tem problema, basta nos informar o endereço de e-mail utilizado no momento em que você se cadastrou que nós lhe enviaremos um e-mail com as instruções para você definir uma nova senha.